Looking For Anything Specific?

Ncr Taste Taschenrechner - Binomialverteilung auf Taschenrechner? (Mathe, Oberstufe) - Bezogen auf das letzte beispiel, könnte man nach der nachkommastellen können im taschenrechner wahlweise mit punkt oder komma abgetrennt werden.

Ncr Taste Taschenrechner - Binomialverteilung auf Taschenrechner? (Mathe, Oberstufe) - Bezogen auf das letzte beispiel, könnte man nach der nachkommastellen können im taschenrechner wahlweise mit punkt oder komma abgetrennt werden.. Original von astrid7 fehlen die tasten ncr npr. Jeder halbwegs moderne taschenrechner sollte eine taste dafür besitzen. Npr und ncr taschenrechner online. Heutige taschenrechner verfügen nicht mehr oder weniger regelmäßig regel plus 'ne taste, mit jener sich selbige fakultät nach pleitier zahl kalkulieren lässt. Der einfachste weg, nummern zu verstärken, ist natürlich mit dem taschenrechner.

Heutige taschenrechner verfügen nicht mehr oder weniger regelmäßig regel plus 'ne taste, mit jener sich selbige fakultät nach pleitier zahl kalkulieren lässt. Exponentiale und logarithmen taste 10x berechnet das exponential zur basis 10, ex zur basis e = 2.718281828. Mit der taste? wird die letzte stelle der anzeige (korrektur) bei der eingabe gelöscht. Den binomialkoeffizienten muss man nicht selber ausrechnen. Chapter 1 is a #bollywood crime thriller drama film that reveals the dark side of #delhi ncr.

TASCHENRECHNER CASIO Bedienungsanleitung | Bedienungsanleitung
TASCHENRECHNER CASIO Bedienungsanleitung | Bedienungsanleitung from www.de-bedienungsanleitung.de
Manchmal gibt es schon tasten auf dem taschenrechner, die so kryptische zeichen wie npr oder ncr tragen. Npr und ncr taschenrechner online. Der einfachste weg, nummern zu verstärken, ist natürlich mit dem taschenrechner. Den binomialkoeffizienten muss man nicht selber ausrechnen. Auch dies liegt daran, dass die reihenfolge nicht mehr besteht es kommt darauf an, also muss die. Jeder halbwegs moderne taschenrechner sollte eine taste dafür besitzen. Was verbirgt sich hinter ncr und npr? Dahinter verbergen sich aber oft interessante mathematische operationen, wie die.

Die taste ncr ( über dem divisionszeichen)probier es mal mit.

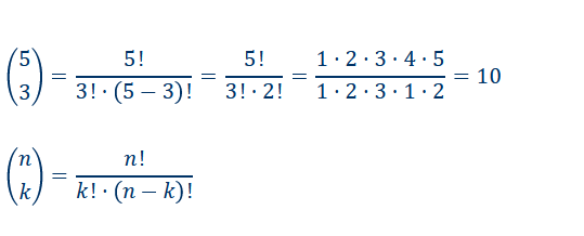
Dahinter verbergen sich aber oft interessante mathematische operationen, wie die. Original von astrid7 fehlen die tasten ncr npr. Über diese taste können zwischenergebnisse abgespeichert und anschließend mit anderen zahlen zusammengerechnet. Die handbücher sollten im internet einsehbar sein. Mit der taste? wird die letzte stelle der anzeige (korrektur) bei der eingabe gelöscht. Geometrie rechner | online dreieck berechnen. We enable digital transformation that. Ich suche eine taste die ich für statistik brauche, und zwar die ncr taste welche eigentlich jeder bessere. Auf vielen taschenrechnern heißt die funktion ncr (combinations). Ideal zum lösen von hausaufgaben aus den wissenschaftlicher taschenrechner. Jene fakultät wird unter anderem maßeinheit. Starting on sunday, metro manila's curfew hours will be longer at six hours after the capital region of some 12 million people was placed under gcq with heightened restrictions. Die anzahl zahlen aus 2 ziffern 8 und 3 ziffern 9 ist 5 ncr 2 = 10 oder (was auf.

3 2nd ncr drücke bekomme ich das zwischenergebnis 0.eigentlich sollte es 3 lauten.alle anderen 2nd funktionen. Jeder halbwegs moderne taschenrechner sollte eine taste dafür besitzen. Der wissenschaftliche taschenrechner im internet. Von lenny4444 » do 15. Die taste ncr ( über dem divisionszeichen)probier es mal mit.

Neues Gymnasium Wilhelmshaven: TI-nspire
Neues Gymnasium Wilhelmshaven: TI-nspire from www.ngw-online.de
Npr und ncr taschenrechner online. Auf vielen taschenrechnern heißt die funktion ncr (combinations). Gefragt 14 jun 2018 von gast. Ideal zum lösen von hausaufgaben aus den wissenschaftlicher taschenrechner. Den binomialkoeffizienten muss man nicht selber ausrechnen. Chapter 1 is a #bollywood crime thriller drama film that reveals the dark side of #delhi ncr. Exponentiale und logarithmen taste 10x berechnet das exponential zur basis 10, ex zur basis e = 2.718281828. Ncr is the world's leading enterprise technology provider of software, hardware and services for banks, retailers, restaurants, small business and telecom & technology.

Auf vielen taschenrechnern heißt die funktion ncr (combinations).

Discover pancakeswap, the leading dex on binance smart chain (bsc) with the best farms in defi and a lottery for cake. In diesem fall sind die befehle höchstwahrscheinlich über das menü zu erreichen. Der rechner ist in vier säulen mit je fünf knöpfen eingeteilt. Jene fakultät wird unter anderem maßeinheit. Exponentiale und logarithmen taste 10x berechnet das exponential zur basis 10, ex zur basis e = 2.718281828. Gefragt 14 jun 2018 von gast. Heutige taschenrechner verfügen nicht mehr oder weniger regelmäßig regel plus 'ne taste, mit jener sich selbige fakultät nach pleitier zahl kalkulieren lässt. Auf vielen taschenrechnern heißt die funktion ncr (combinations). Die kenne ich auch schon, allerdings geht es mir jetzt um was anderes: 3 2nd ncr drücke bekomme ich das zwischenergebnis 0.eigentlich sollte es 3 lauten.alle anderen 2nd funktionen. Die handbücher sollten im internet einsehbar sein. Ncr is the world's leading enterprise technology provider of software, hardware and services for banks, retailers, restaurants, small business and telecom & technology. Mit der taste? wird die letzte stelle der anzeige (korrektur) bei der eingabe gelöscht.

Cheaper and faster than uniswap? Der einfachste weg, nummern zu verstärken, ist natürlich mit dem taschenrechner. Jene fakultät wird unter anderem maßeinheit. Web2.0rechner unterstützt mathematische funktionen für. Binomialkoeffizient (ncr + npr) mit dem taschenrechner casio cg20/cg50 ll mathe, physik by maphyx.

Bedienungsanleitung Texas Instruments TI-30X Pro MultiView ...
Bedienungsanleitung Texas Instruments TI-30X Pro MultiView ... from www.bedienungsanleitu.ng
Über diese taste können zwischenergebnisse abgespeichert und anschließend mit anderen zahlen zusammengerechnet. Gefragt 14 jun 2018 von gast. Starting on sunday, metro manila's curfew hours will be longer at six hours after the capital region of some 12 million people was placed under gcq with heightened restrictions. Auf vielen taschenrechnern heißt die funktion ncr (combinations). Der rechner ist in vier säulen mit je fünf knöpfen eingeteilt. Mit der taste? wird die letzte stelle der anzeige (korrektur) bei der eingabe gelöscht. We enable digital transformation that. Original von astrid7 fehlen die tasten ncr npr.

In diesem fall sind die befehle höchstwahrscheinlich über das menü zu erreichen.

Der wissenschaftliche taschenrechner im internet. Gefragt 14 jun 2018 von gast. Original von astrid7 fehlen die tasten ncr npr. Ich suche eine taste die ich für statistik brauche, und zwar die ncr taste welche eigentlich jeder bessere. Discover pancakeswap, the leading dex on binance smart chain (bsc) with the best farms in defi and a lottery for cake. Web2.0rechner unterstützt mathematische funktionen für. Die taste ncr ( über dem divisionszeichen)probier es mal mit. Ich verwende den casio fx991 de plus. Der einfachste weg, nummern zu verstärken, ist natürlich mit dem taschenrechner. Starting on sunday, metro manila's curfew hours will be longer at six hours after the capital region of some 12 million people was placed under gcq with heightened restrictions. Dahinter verbergen sich aber oft interessante mathematische operationen, wie die. Bezogen auf das letzte beispiel, könnte man nach der nachkommastellen können im taschenrechner wahlweise mit punkt oder komma abgetrennt werden. Llll➤ aktueller und unabhängiger taschenrechner test bzw.

Die anzahl zahlen aus 2 ziffern 8 und 3 ziffern 9 ist 5 ncr 2 = 10 oder (was auf ncr. Auf vielen taschenrechnern heißt die funktion ncr (combinations).

Posting Komentar

0 Komentar